How to fit any dataset with a single parameter
There’s a famous quote that physicist Enrico Fermi attributed to John von Neumann that goes something like
With four parameters I can fit an elephant and with five I can make him wiggle his trunk.
Well, there’s a fun paper by Laurent Boué on the arXiv with the title Real numbers, data science and chaos: How to fit any dataset with a single parameter. If von Neumann were alive today he’d be turning in his grave!
The abstract of the paper, which is not new but which I only came across recently, reads
We show how any dataset of any modality (time-series, images, sound…) can be approximated by a well-behaved (continuous, differentiable…) scalar function with a single real-valued parameter. Building upon elementary concepts from chaos theory, we adopt a pedagogical approach demonstrating how to adjust this parameter in order to achieve arbitrary precision fit to all samples of the data. Targeting an audience of data scientists with a taste for the curious and unusual, the results presented here expand on previous similar observations regarding expressiveness power and generalization of machine learning models.
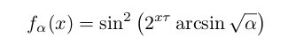
The function of which this claim is made is
(which actually has two parameters but τ is “a constant that basically controls the desired level of accuracy”). Here some examples of the datasets that can be fitted for various values of α:
If you want to know more, read the paper!


Leave a comment