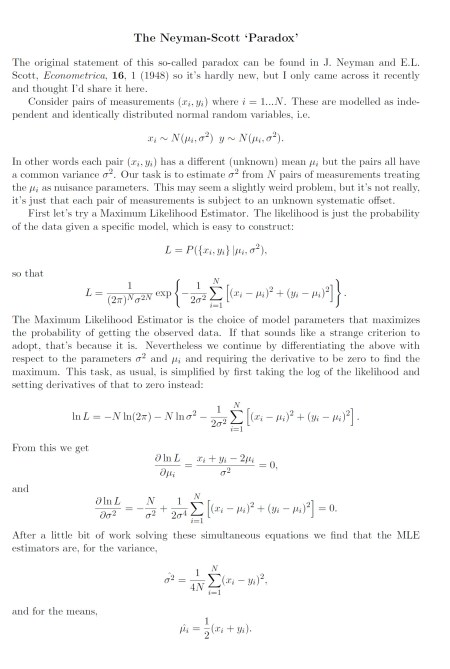
Time for a bit of Boogie Woogie. This is by the great Jimmy Yancey who, despite having a strong claim to be regarded as the founding father of this style of piano playing, is nowhere near as well known as he should be. In fact he only began to make recordings relatively late in life and never earned enough money to give up his day job, which was as a groundsman for the Chicago White Sox baseball team. He was nevertheless a huge influence on people like Meade Lux Lewis and Albert Ammons who made a great commercial success out of this genre.
You may or may not know that Boogie Woogie encompasses quite a wide `library’ of left-hand bass patterns, many of which have their own names: the Rocks, the Trenches and the Fives to name but three. I’ve always felt that there was an interesting paper (or perhaps PhD thesis) to be written about the various permutations of notes involved in these figures, which mainly (but not exclusively) involve the root, third, fifth and sixth notes of the relevant chord, which are usually themselves part of a standard 12-bar blues progression. Usually the little finger of the left hand picks out the root note and since the pattern played by the other fingers doesn’t change as the chords change remembering where your pinkie has to go more-or-less guarantees that the rest of the pattern ends up in the right place.
The simplest of all these Boogie Woogie figures to play is the Barrelhouse left-hand style that just involves a pair of two-note chords (root-fifth and root-sixth). Double up each of those chords and you get the left hand for Meade Lux Lewis’s classic Honky Tonk Train Blues, and so on. I mention that because if you follow the Youtube link you’ll see a photograph of Jimmy Yancey watching Meade Lux Lewis play.
Anyway, though most Boogie-Woogie left-hand bass figures have rather abstract names such as those listed above, this one – which you’ll recognize from a number of other tunes, such as Fats Domino’s Blueberry Hill – is always called the Yancey Special left hand as a tribute to its inventor. Apart from that lovely rolling bass line, what else is great about this track is the way Jimmy Yancey generates such a sense of forward momentum at a relatively slow tempo, e.g. by using the very effective technique (called a “pick-up”) of starting a right-hand phrase just before the bar line indicate by the left hand.
Follow @telescoper
The lecture will focus on the large-scale structure of the Universe and the ideas that physicists are weaving together to explain how it came to be the way it is. Over the last few decades, astronomers have revealed that our cosmos is not only vast in scale – at least 14 billion light years in radius – but also exceedingly complex, with galaxies and clusters of galaxies linked together in immense chains and sheets, surrounding giant voids of (apparently) empty space. Cosmologists have developed theoretical explanations for its origin that involve such exotic concepts as ‘dark matter’, ‘dark energy’ and ‘cosmic inflation’, producing a cosmic web of ideas that is, in some ways, as…




