It’s quite a busy day today. I spent a slice of of this morning attending the Autumn Examination Board (online). Students taking repeat exams will get their results on Friday which, coincidentally, is the same day that this year’s Leaving Certificate Examinations will come out.
I have one major task to finish today, completing the revisions of a paper to get it ready to resubmit. I’ve been struggling with this over the last few days but I think only minor changes are left to do so I should get it done after lunch. I’ll be at the Irish National Astronomy Meeting tomorrow (Thursday) and Friday so I’d like to get that done before that.
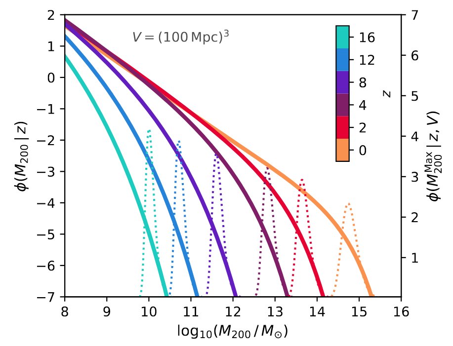
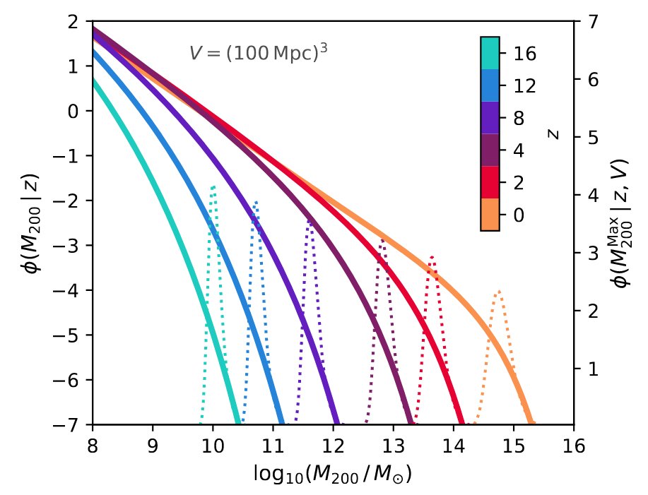
I already have two causes for celebration today. The first is that my first Maynooth PhD student’s first paper has now hit the arXiv. The second is that today is the last day of my three-year as Head of the Department of Theoretical Physics. As I wrote on the occasion of my appointment:
It’s about three years now since I stepped down as Head of School at the University of Sussex at which point I didn’t imagine I would be stepping up to be Head of Anything again, but to be honest this position has a smaller and much better defined set of responsibilities than the one I used to hold so I’m actually quite looking forward to it.
The idea that the job would have “a smaller and much better defined set of responsibilities” turns out to have been one of the worst miscalculations of my life, entirely for reasons outside the Department and not only because of the pandemic. Suffice to say that it’s been a difficult three years. I have to say though that the staff and students in the Department have been great to work with over this period, and their support is the only thing that made the job bearable. I will of course be continuing to work with them as a teacher and researcher and will do the best I can to support my replacement, assuming the University management gets around to appointing a successor, which it has yet to do despite having many months to do so.
Now, to finish revising that paper.











