No time to blog today as I am at yet another Awayday. In fact I will be Away for Two Days.
Can anyone name my location (in the photograph above)?
Follow @telescoperNo time to blog today as I am at yet another Awayday. In fact I will be Away for Two Days.
Can anyone name my location (in the photograph above)?
Follow @telescoperJust a brief post following yesterday’s centenary of General Relativity, after which somebody asked me what is so difficult about the theory. I had two answers to that, one mathematical and one conceptual.

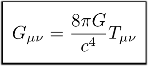
The Field Equations of General Relativity are written above. In the notation used they don’t look all that scary, but they are more complicated than they look. For a start it looks like there is only one equation, but the subscripts μ and ν can each take four values (usually 0, 1, 2 or 3), each value standing for one of the dimensions of four-dimensional space time. It therefore looks likes there are actually 16 equations. However, the equations are the same if you swap μ and ν around. This means that there are “only” ten independent equations. The terms on the left hand side are the components of the Einstein Tensor which expresses the effect of gravity through the curvature of space time and the right hand side describes the energy and momentum of “stuff”, prefaced by some familiar constants.
The Einstein Tensor is made up of lots of partial derivatives of another tensor called the metric tensor (which describes the geometry of space time), which relates, through the Field Equations, to how matter and energy are distributed and how these components move and interact. The ten equations that need to be solved simultaneously are second-order non-linear partial different equations. This is to be compared with the case of Newtonian gravity in which only ordinary different equations are involved.
Problems in Newtonian mechanics can be difficult enough to solve but the much greater mathematical complexity in General Relativity means that problems in GR can only be solved in cases of very special symmetry, in which the number of independent equations can be reduced dramatically.
So that’s why it’s difficult mathematically. As for the conceptual problem it’s that most people (I think) consider “space” to be “what’s in between the matter” which seems like it must be “nothing”. But how can “nothing” possess an attribute like curvature? This leads you to conclude that space is much more than nothing. But it’s not a form of matter. So what is it? This chain of thought often leads people to think of space as being like the Ether, but that’s not right either. Hmm.
I tend to avoid this problem by not trying to think about space or space-time at all, and instead think only in terms of particle trajectories or ligh rays and how matter and energy affect them. But that’s because I’m lazy and only have a small brain…
Follow @telescoper
I’ve been in meetings all afternoon so far so I missed the live broadcast of the Chancellor’s Autumn Statement.
Now that I’ve caught up a little it seems that there’s much to be relieved about. Yet again it seems the Government has deployed the tactic of allowing scare stories of dire cuts to spread in order that the actual announcement appears much better than people feared, even if it is mediocre.
You can find the overall key results of the spending review and autumn statement here, but along with many colleagues who work in research and higher education I went straight to the outcome for the Department of Business, Innovation and Skills (BIS) which you can find here.
The main results for me – from the narrow perspective of a scientist working in a university – are:
The Autumn Statement includes only a very high level summary of allocations so we don’t know anything much about how these decisions will filter down to specific programmes at this stage. The Devil is indeed in the Detail. Having said that, the overall settlement for HE and Research looks much better than many of us had feared so I’d give it a cautious welcome. For now.
If anyone has spotted anything I’ve missed or wishes to comment in any other way please use the box below!
Follow @telescoper
Many people have been celebrating the centenary of the birth of Einstein’s Theory of General Relativity this year, but it’s not obvious precisely what date to select. I’ve decided to go for today, partly because the News on BBC Radio 3 did when I work up this morning, but also because there is a well-known publication that mentions that date:
The 25th November 1915 was the date on which Einstein presented the “final” form of his theory to the Prussian Academy of Sciences. You can find a full translation of the paper “The Field Equations of Gravitation” here. You will see that he refers to a couple of earlier papers in that work, but I think this one is the first presentation of the full theory. It fascinated me when I was looking at the history of GR for the textbook I was working on about 20 years ago that the main results (e.g. on cosmology, the bending of light and on the perihelion of mercury) are spread over a large number of rather short papers rather than all being in one big one. I guess that was the style of the times!
So there you are, General Relativity has been around for 100 years. At least according to one particular reference frame…
Oh, and here’s a cute little video – funded by the Science and Technology Facilities Council – celebrating the centenary:
Follow @telescoper
There’s a not inconsiderable amount of anxiety around as tomorrow’s Autumn Statement approaches. The likelihood is that we will see drastic cuts to everything, including science and education, and huge jobs losses and cuts to public services around the country.
In order to gauge public opinion, ahead of the announcement of the end of British Civil Society I have decided to conduct a poll.
And in case it’s all too depressing to think about, Dorothy has knitted a Soup Dragon to cheer you up.
We’re getting ready to launch the Open Journal of Astrophysics site so for all the folks out there who are busy preparing to submit papers let me just give you advanced warning how it works. The website is currently being tested with real submissions, but these have so far been canvassed from the Editorial Board for testing purposes: the journal is not yet available for general submission, and the site is not yet public. Once we’re sure everything is fully functional we will open up.
Anyway, in order to submit a paper you will need to obtain an ORCID ID. In a nutshell this is a unique identifier that makes it much easier to keep track of researchers than via names, email address or whatever. It can be used for many other things other than the Open Journal project so it’s a good thing to do in itself.
You can register for an ID here. It only takes seconds to do it, so do it now! You can find out more about ORCID here. When you have your ORCID ID you can log into our Open Journal website to submit a paper.
The Open Journal is built on top of the arXiv which means that all papers submitted to the Open Journal must be submitted to the arXiv first. This in turns means is that you must also be registered as a “trustworthy” person to submit there. You can read about how to do that here. When you have succeeded in submitting your paper to the arXiv you can proceed to submit it to the Open Journal.
As an aside, we do have a Latex template for The Open Journal, but you can for the time being submit papers in any style as long as the resulting PDF file is readable.
To submit a paper to be refereed by The Open Journal all you need to do is type in its arXiv ID and the paper will be imported into the Open Journal. The refereeing process is very interactive – you’ll like it a lot – and when it’s completed the paper will be published, assigned a Digital Object Identifier (DOI) and will be entered into the CrossRef system for the purpose of gathering citations and other bibliometric data.
We will be issuing a general call for submissions very soon, at which point we will also be publishing general guidance in the form of an FAQ, which includes information about copyright etc. In the meantime, all you need to do is get your ORCID ID and get your papers on the arXiv!
Follow @telescoperThe outcome of the 2015 Comprehensive Spending Review is to be announced shortly (on Wednesday 25th November), a fact which suggested this piece of music. It’s a solo piano piece by the late great Mal Waldron. Among many other things, Mal Waldron was Billie Holiday’s regular accompanist from 1957 until her death in 1959 and it was during that time he was booked to appear on a famous all-star TV Jazz broadcast called The Sound of Jazz from which this solo performance is taken. It’s an original composition by the pianist, and it’s called Nervous.
p.s. I did a blog post some time ago about Billie Holliday’s heartbreaking last performance with Lester Young, which also appeared on The Sound of Jazz. You can find it here.
Follow @telescoperIt has been a little while since I posted anything in the Cute Problems category so since today is quite a windy day I thought I’d give you this one, which leads to an extimate of the maximum power that can, in theory, be extracted from wind a windmill.
Assume that the wind far upstream and down-stream of the windmill has speed V and αV respectively, with 0≤α≤1, and let the wind speed at the sails of the windmill, which sweep out an area A, be v.
Now for the problems
(i) By equating the power absorbed by the mill to the rate of loss of kinetic energy of the wind, show that v/V=½(1+α).
(ii) Show that the power obtainable is proportional to AρV3 where ρ is the density of air.
(iii) Show that the maximum power that can be extracted is 16/27 of the power available initially in the wind.
The final result is known as Betz’s Law and it works for any form of turbine, not just a windmill.
Follow @telescoper