Archive for May, 2016

The Terror of Maths

Posted in History, The Universe and Stuff with tags , , , , on May 9, 2016 by telescoper

I’m not sure whether to be amused or appalled by the story of the Professor whose flight was delayed in order for him to be interrogated because a fellow passenger saw him doing some mathematical calculations. I know some people who find mathematics scary but that’s taking things too far! I wonder if the passenger was Simon Jenkins?

I was wondering whether the calculation was concerned with plane geometry but that seems not to be the case. The academic concerned is an Economist and he was studying a differential equation. That surprises me. I hadn’t realised economists knew about calculus. Or about anything else, for that matter.

The BBC coverage of the story used the following image:

scary_maths

The physicists among you will recognize this as a representation of some of Maxwell’s Equations. I very much doubt they played a part in the work of  our Economics Professor, so presumably this is just one of the  BBC’s stock of generic “scary maths” images.

Other things worth noting are that this version of Maxwell’s Equations isn’t written in SI units, the standard notation in the UK and Europe. As a matter of fact it uses cgs units, which suggests it may be an American import. Nor is it really correct anyway, because the time derivative inside the brackets should surely be partial.

All of which goes to demonstrate how Mathematics is usually viewed in the media and, by extension, the public at large: like an arcane book written in an incomprehensible  language that should be viewed with suspicion or ridicule by any sensible person.

There is nothing new about this, of course. I’m reminded that in 1870, during the Franco-Prussian Way, Norwegian mathematician Sophus Lie was arrested in France on suspicion of being a German spy because the authorities thought his mathematical notes were coded messages of some sort.

In reality, mathematics is the most open and universal language of all and, as such, is a powerful force for human good. Among many other things, quantitative reasoning and proper logic help to defend us against those who lie and distort the facts in order to gain power. Mathematics may not be the easiest language to learn, but it’s well worth the effort, even if you can only master the basics.

 

 

Sir David Attenborough at 90, Boaty McBoatface, and the Song of the Lyre Bird

Posted in Biographical, Science Politics, The Universe and Stuff with tags , , , , , , , , on May 8, 2016 by telescoper

Today is the 90th birthday of one of my biggest heroes, Sir David Attenborough, so let me start by wishing him many happy returns of the day!
There has been some controversy recently about the new Polar Research ship being called the Sir David Attenborough despite overwhelming support in a public poll for it to be called Boaty McBoatface. The latter name has been retained for one of the remote-controlled submersibles carried by the larger vessel, but I’ve seen a number of complaints that this was inappropriate. Actually, I disagree. For one thing the new vessel is undoubtedly a ship rather than a boat; its prefix ‘RRS’ means ‘Royal Research Ship’ after all. For another, submarines – even the very big ones – are always known as boats. This has been the practice since the earliest days of submersible craft, presumably because the earliest ones were small enough to be carried by other vessels. A submersible Boaty McBoatface is absolutely fine by me!

Anyway I thought I’d use the occasion of Sir David Attenborough’s birthday to post one of my favourite clips from one of his many TV programmes, and the piece I wrote about it a while ago

I wonder what you felt as you watched it?  What went through your mind? Amusement? Fascination?  I’ll tell you how it was for me when I first saw it.  I marvelled.

Seeing the extraordinary behaviour of this marvellous creature filled me with a sense of wonder. But I also began to wonder in another sense too. How did the Lyre Bird evolve its bizarre strategy? How does it learn to be such an accurate mimic? How does it produce such a fascinating variety of sounds? How can there be an evolutionary advantage in luring a potential mate to the sound of foresters and a chainsaw?

The Lyre Bird deploys its resources in such an elaborate and expensive way that you might be inclined to mock it, if all it does is draw females to “look at its plumes”.  I can think of quite a few blokes who adopt not-too-dissimilar strategies, if truth be told. But if you could ask a Lyre Bird it would probably answer that it does this because that’s what it does. The song defines the bird. That’s its nature.

I was moved to post the clip in response to a characteristically snide and ill-informed piece by Simon Jenkins in the  Guardian a while ago. Jenkins indulges in an anti-science rant every now and again. Sometimes he has a point, in fact. But this article was just puerile. Perhaps he had a bad experience of science at school and never got over it.

I suppose I can understand why some people are cynical about scientists stepping into the public eye to proselytise about science. After all, it’s also quite easy to come up with examples of  scientists who have made mistakes. Sadly, there are also cases of outright dishonesty. Science is no good because scientists are fallible. But scientists are people, no better and no worse than the rest. To err is human and all that.  We shouldn’t expect scientists to be superhuman any more than we should believe the occasional megalomaniac who says they are.

To many people fundamental physics is a just a load of incomprehensible gibberish, the Large Hadron Collider a monstrous waste of money, and astronomy of no greater value to the world than astrology. Any scientist trying to communicate science to the public must be trying to hoodwink them, to rob them of the schools and hospitals that their taxes should be building and sacrifice their hard-earned income on the altar of yet another phoney religion.

And now the BBC is participating in this con-trick by actually broadcasting popular programmes about science that have generated huge and appreciative audiences. Simon Jenkins obviously feels threatened by it. He’s probably not alone.

I don’t  have anything like the public profile of the target of Jenkins’ vitriol, Lord Rees, but I try to do my share of science communication. I give public lectures from time to time and write popular articles, whenever I’m asked. I also answer science questions by email from the general public, and some of the pieces I post on here receive a reasonably wide distribution too.

Why do I (and most of my colleagues) do all this sort of stuff? Is it because we’re after your money?  Actually, no it isn’t. Not directly, anyway.

I do all this stuff because, after 25 years as a scientist, I still have a sense of wonder about the universe. I want to share that as much as I can with others. Moreover,  I’ve been lucky enough to find a career that allows me to get paid for indulging my scientific curiosity and I’m fully aware that it’s Joe Public that pays for me to do it. I’m happy they do so, and happier still that people will turn up on a rainy night to hear me talk about cosmology or astrophysics. I do this because I love doing science, and want other people to love it  too.

Scientists are wont to play the utilitarian card when asked about why the public should fund fundamental research. Lord Rees did this in his Reith Lectures, in fact. Physics has given us countless spin-offs – TV sets, digital computers,  the internet, you name it – that have created wealth for UK plc out of all proportion to the modest investment it has received. If you think the British government spends too much on science, then perhaps you could try to find the excessive sum on this picture.

Yes, the LHC is expensive but the cost was shared by a large number of countries and was spread over a long time. The financial burden to the UK now amounts to the cost of a cup of coffee per year for each taxpayer in the country. I’d compare this wonderful exercise in friendly international cooperation with the billions we’re about to waste on the Trident nuclear weapons programme which is being built on the assumption that international relations must involve mutual hatred.

This is the sort of argument that gets politicians interested, but scientists must be wary of it. If particle physics is good because it has spin-offs that can be applied in, e.g. medicine, then why not just give the money to medical research?

I’m not often put in situations where I have to answer questions like why we should spend money on astronomy or particle physics but, when I am, I always feel uncomfortable wheeling out the economic impact argument. Not because I don’t believe it’s true, but because I don’t think it’s the real reason for doing science. I know the following argument won’t cut any ice in the Treasury, but it’s what I really think as a scientist (and a human being).

What makes humans different from other animals? What defines us? I don’t know what the full answer to that is, or even if it has a single answer, but I’d say one of the things that we do is ask questions and try to answer them. Science isn’t the only way we do this. There are many complementary modes of enquiry of which the scientific method is just one. Generally speaking, though, we’re curious creatures.

I think the state should support science but I also think it should support the fine arts, literature, humanities and the rest, for their own sake. Because they’re things we do. They  make us human. Without them we’re just like any other animal that consumes and reproduces.

So the real reason why the government should support science is the song of the Lyre Bird.  No, I don’t mean as an elaborate mating ritual. I don’t think physics will help you pull the birds. What I mean is that even in this materialistic, money-obsessed world we still haven’t lost the  need to wonder, for the joy it brings and for the way it stimulates our minds; science doesn’t inhibit wonder, as Jenkins argues,  it sparks it.

Now, anyone want to see my plumes?

Balls, Sunshine and Teaching

Posted in Biographical, Education on May 7, 2016 by telescoper

Apparently today is World Naked Gardening Day but, although it reminded me for some reason that “Orchid” is derived from the Greek word for testicle, that’s not the reason for the title of this post.

Teaching at Sussex University officially finished yesterday, and by sheer coincidence, last night saw the annual Physics Ball which, was as usual, a very enjoyable occasion.

On my way to the Holiday Inn for the do I saw this group of 4th year students being photographed on the seafront.

image

They’re going to be graduating this summer so for many of them – apart from those staying on to do PhDs etc – this will be their last Physics Ball, which  no doubt explains why they seemed so determined to have a good time despite the fact that exams start next week.

It’s amazing how the weather always turns fine for examination season. Yesterday it was beautiful. Brighton beach was busy during the day and the seafront still crowded even as I walked home at around 1am.

Anyway, at the Ball, I was seated with a group of mainly 2nd year students, some of whom are taking my Theoretical Physics module. They not only said very nice things about my lecturing but even bought me a very nice cigar which I smoked after dinner outside the hotel in the balmy evening. I couldn’t say whether all this had anything to do with the fact that I will shortly be marking their examinations.

I don’t mind admitting that I have found this year an incredible strain. I have done my best to hide it from staff and students, but my job involves a huge workload and far too many ridiculous bureaucratic frustrations. I have little time for life outside work and at times I wonder what the point is. Then I get to give a lecture to a group of bright and enthusiastic students about the amazing and beautiful thing called physics and I remember what it’s supposed to be all about.

Extraordinary Rendition

Posted in Music, Opera with tags , , , on May 6, 2016 by telescoper

Here’s something to end the week with: a piece from my favourite Mozart opera, The Magic Flute, in a version that’s itself very rarely heard. Fortunately. This is what Florence Foster Jenkins – the opera singer to end all opera singers – did with Der Hölle Rache kocht in meinem Herzen. For some reason Sony admits to owning the copyright of this, so you’ll have to click through to Youtube to hear it in its full glory.

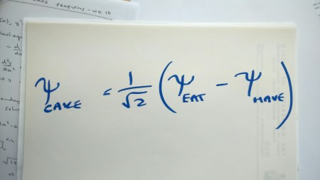
A quantum proverb..

Posted in The Universe and Stuff on May 5, 2016 by telescoper

image

I’ve been busy in London all day so haven’t had time for a proper blog post today.

However, yesterday’s post reminded me of the above attempt at humour occasioned by the thought that classical proverbs may need to be modified to include quantum phenomena…

Can single-world interpretations of quantum theory be self-consistent?

Posted in The Universe and Stuff with tags , on May 4, 2016 by telescoper

I saw a provocative-looking paper on the arXiv the other day (by Daniela Frauchiger and Renato Renner)  with the title Single-world interpretations of quantum theory cannot be self-consistent. No doubting what the authors think!

Here’s the abstract:

 According to quantum theory, a measurement may have multiple possible outcomes. Single-world interpretations assert that, nevertheless, only one of them “really” occurs. Here we propose a gedankenexperiment where quantum theory is applied to model an experimenter who herself uses quantum theory. We find that, in such a scenario, no single-world interpretation can be logically consistent. This conclusion extends to deterministic hidden-variable theories, such as Bohmian mechanics, for they impose a single-world interpretation.

Since this is a subject we’ve had interesting debates about on this blog I thought I’d post a link to it here and see if anyone would like to respond through the comments. I haven’t had time to read it thoroughly yet, but I do have a bit of train travel to do tomorrow…

 

Farewell to Whitchurch..

Posted in Biographical, Mental Health with tags , , on May 4, 2016 by telescoper

One of the things that happened over the Bank Holiday Weekend was the closure of Whitchurch Hospital on April 30th 2016. I read about this here, from which source I also took the photograph below:

Whitchurch-Hospital-2

Whitchurch Hospital was built in 1908 and was originally known as Cardiff City Asylum. After over a hundred years of providing care for the mentally ill – including soldiers treated for shell shock in two world wars – the remaining patients have now been transferred to a brand new psychiatric care unit at Llandough.

It was strange reading about the closure of Whitchurch Hospital. Having spent more time myself there than I wish I had, including an extended period an acute ward, I never thought I would feel nostalgic about the place. Quite apart from the fact that it looked like something out of a Gothic novel, it was in dire need of refurbishment and modernisation. Looking back, however, I have the greatest admiration for the staff who worked there and deep gratitude for the patience and kindness they showed me while I was there.

The first extended period I spent in a psychiatric institution, back in the 1980s, was in Hellingly Hospital in Sussex. That place also had something of the Hammer House of Horror about it. I was completely terrified from the moment I arrived there to the moment I was discharged and don’t feel any nostalgia for it at all.  When I recently looked at what it is like now – derelict and decaying – it gave me more than a shudder.

 

50 Years of the Astronomy Centre at the University of Sussex

Posted in Uncategorized with tags , , on May 3, 2016 by telescoper

It is my pleasure to share here the announcement that there will be a  special celebration for the 50th Anniversary of the Astronomy Centre at the University of Sussex whose first students began their studies here in 1966.

Lord Martin Rees – Astronomer Royal, Fellow of Trinity College, Cambridge, Past President of the Royal Society and Sussex Honorary – will be joining alumni and other former faculty for the celebratory lunch and has kindly agreed to deliver a short speech as part of the event.

Organised by the Astronomy Centre and the Development and Alumni Office, and supported by the School of Mathematical and Physical Sciences , this celebration is open to all former students and their partners. Please make a note of the date and time:

Date: Saturday 15th October 2016
Venue: 3rd Floor, Bramber House, University of Sussex
Time: 12 – 3pm
Cost:  £20 per person, to include lunch and refreshments

You can book online here to secure your place(s).

We are very much looking forward to welcoming you back to campus to share in the celebrations. If you are in touch with other alumni or faculty from Sussex who have connections with the Astronomy Centre, please let them know!

Afterwards, by Thomas Hardy

Posted in Poetry with tags , , , on May 3, 2016 by telescoper

When the Present has latched its postern behind my tremulous stay,
And the May month flaps its glad green leaves like wings,
Delicate-filmed as new-spun silk, will the neighbours say,
“He was a man who used to notice such things”?

If it be in the dusk when, like an eyelid’s soundless blink,
The dewfall-hawk comes crossing the shades to alight
Upon the wind-warped upland thorn, a gazer may think,
“To him this must have been a familiar sight.”

If I pass during some nocturnal blackness, mothy and warm,
When the hedgehog travels furtively over the lawn,
One may say, “He strove that such innocent creatures should come to no harm,
But he could do little for them; and now he is gone.”

If, when hearing that I have been stilled at last, they stand at the door,
Watching the full-starred heavens that winter sees,
Will this thought rise on those who will meet my face no more,
“He was one who had an eye for such mysteries”?

And will any say when my bell of quittance is heard in the gloom,
And a crossing breeze cuts a pause in its outrollings,
Till they rise again, as they were a new bell’s boom,
“He hears it not now, but used to notice such things”?

by Thomas Hardy (1840-1928).

 

Flowers in Bute Park

Posted in Uncategorized on May 2, 2016 by telescoper

On  my way back to Brighton after a weekend in Cardiff. I would have lingered for more of this bank holiday Monday but the trains are running to a weird timetable and I didn’t want to get back too late.

Anyway, in lieu of a proper post here’s a picture I took of some of the spring  flowers in Bute Park on Saturday.

image