A few days ago I wrote a very sceptical post about an alternative to the present standard cosmological which is called the holographic universe. After an interesting discussion thread on that post I thought I’d pose a challenge here. It might be a bit specialist as it is for inflationary theorists and model-builders (a club to which I do not belong) but I thought I’d try it as it might prove education for me as for other readers.
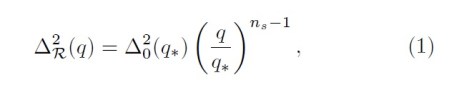
Anyway, the point is that in the inflationary paradigm there is a fairly generic prediction that the primordial scalar power spectrum (related to the spectrum of density fluctuations) takes the form of a power law:

The wavenumber is denoted q. There are two free parameters here: the spectral index ns (which is usually close to unity); and an overall normalization amplitude parametrised here at an arbitrary “pivot” scale q*.
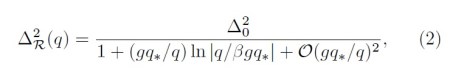
In the holographic model the functional form of the spectrum is quite different:

This has two different free parameters: g and β, both of which relate to properties of a dual Quantum Field Theory which appears in the model.
The second model is motivated by very different considerations from those behind the inflationary model, but my suspicion is that in fact one could create a version of inflation that produces a spectrum of the form (2) rather than (1). There is an imtimate relationship between the scalar perturbation spectrum and the inflationary dynamics which means that there is considerable freedom to “design” the perturbation spectrum by building features into the potential.
Anyway, that’s the challenge. Would any cosmologists out there with time on their hands please make me an inflationary model that produces the spectrum (2). Alternatively, if this can’t be done, give me a proof why it can’t!