I was idly wondering earlier this week when the annual list of new Fellows elected to the Royal Society would be published, as it is normally around this time of year. Today it finally emerged and can be found here.
I am particularly delighted to see that my erstwhile Cardiff colleague Bernard Schutz (with whom I worked in the Data Innovation Research Institute and the School of Physics & Astronomy) is now an FRS! In fact I have known Bernard for quite a long time – he chaired the Panel that awarded me an SERC Advanced Fellowship in the days before STFC, and even before PPARC, way back in 1993. It just goes to show that even the most eminent scientists do occasionally make mistakes…
Anyway, hearty congratulations to Bernard, whose elevation to the Royal Society follows the award, a couple of years ago, of the Eddington Medal of the Royal Astronomical Society about which I blogged here. The announcement from the Royal Society is rather brief:
Bernard Schutz is honoured for his work driving the field of gravitational wave searches, leading to their direct detection in 2015.
I thought I’d add a bit more detail by repeating what was included in the citation for Bernard’s Eddington Medal which focuses on his invention of a method of measuring the Hubble constant using coalescing binary neutron stars. The idea was first published in September 1986 in a Letter to Nature. Here is the first paragraph:
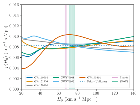
I report here how gravitational wave observations can be used to determine the Hubble constant, H 0. The nearly monochromatic gravitational waves emitted by the decaying orbit of an ultra–compact, two–neutron–star binary system just before the stars coalesce are very likely to be detected by the kilometre–sized interferometric gravitational wave antennas now being designed1–4. The signal is easily identified and contains enough information to determine the absolute distance to the binary, independently of any assumptions about the masses of the stars. Ten events out to 100 Mpc may suffice to measure the Hubble constant to 3% accuracy.
In this paper, Bernard points out that a binary coalescence — such as the merger of two neutron stars — is a self calibrating `standard candle’, which means that it is possible to infer directly the distance without using the cosmic distance ladder. The key insight is that the rate at which the binary’s frequency changes is directly related to the amplitude of the gravitational waves it produces, i.e. how `loud’ the GW signal is. Just as the observed brightness of a star depends on both its intrinsic luminosity and how far away it is, the strength of the gravitational waves received at LIGO depends on both the intrinsic loudness of the source and how far away it is. By observing the waves with detectors like LIGO and Virgo, we can determine both the intrinsic loudness of the gravitational waves as well as their loudness at the Earth. This allows us to directly determine distance to the source.
It may have taken 31 years to get a measurement, but hopefully it won’t be long before there are enough detections to provide greater precision – and hopefully accuracy! – than the current methods can manage!
Here is a short video of Bernard himself talking about his work:
Once again, congratulations to Bernard on a very well deserved election to a Fellowship of the Royal Society.
UPDATE: a more detailed biography of Bernard is now available on the Royal Society website.
Follow @telescoper












